Bài 15: Luyện tập chung

Giải vở bài tập Toán lớp 3 Bài 15: Luyện tập chung (trang 41, 42, 43) - Kết nối tri thức

Vở bài tập Toán lớp 3 Tập 1 Bài 15 Tiết 1 trang 41, 42

Vở bài tập Toán lớp 3 trang 41 Bài 1:


 Tính nhẩm.

a) 7 × 4 = ……              8 × 6 = ……              9 × 5 = ……             6 × 9 = …..

b) 5 × 8 = ……            4 × 9 = ……             8 × 8 = ……               3 × 7 = …..

Lời giải:

a) 7 × 4 = 28                  8 × 6 = 48            9 × 5 = 45                      6 × 9 = 54

b) 5 × 8 = 40                 4 × 9 = 36               8 × 8 = 64                   3 × 7 = 21

Vở bài tập Toán lớp 3 trang 41 Bài 2:


 Tô màu vào những đám mây ghi phép tính có kết quả bé hơn 7.

Vở bài tập Toán lớp 3 trang 41, 42 Bài 15 Tiết 1 - Kết nối tri thức

Lời giải:

Nhẩm lại bảng chia để tính kết quả của các phép tính và tìm ra các phép tính có kết quả nhỏ hơn 7.

Ta có: 28 : 7 = 4

           35 : 5 = 7

           45 : 9 = 5

           48 : 8 = 6

           72 : 9 = 8

Vậy các phép tính có kết quả nhỏ hơn 7 là: 

28 : 7 (vì 4 < 7); 

45 : 9 (vì 5 < 7); 

48 : 8 (vì 6 < 7)

Ta tô màu như sau:

Vở bài tập Toán lớp 3 trang 41, 42 Bài 15 Tiết 1 - Kết nối tri thức

Vở bài tập Toán lớp 3 trang 41 Bài 3: 


Số?

Vở bài tập Toán lớp 3 trang 41, 42 Bài 15 Tiết 1 - Kết nối tri thức

Lời giải:

Muốn tìm số hạng chưa biết, ta lấy tích chia cho số hạng còn lại.

Muốn tìm số bị chia, ta lấy thương nhân với số chia.

Muốn tìm số chia, ta lấy số bị chia chia cho thương.

a) Số cần tìm là:  56 : 8 = 7.

b) Số cần tìm là:  6 × 7 = 42.

c) Số cần tìm là: 45 : 5 = 9.

d) Số cần tìm là: 45 : 9 = 5.

Ta điền như sau:

Vở bài tập Toán lớp 3 trang 41, 42 Bài 15 Tiết 1 - Kết nối tri thức

Vở bài tập Toán lớp 3 trang 41 Bài 4:


 Mai xếp mỗi bàn 6 cái li và xếp 8 bàn như vậy. Hỏi Mai xếp tất cả bao nhiêu cái li?

Bài giải

………………………………………………………………………………………………………………

………………………………………………………………………………………………………………

………………………………………………………………………………………………………………

Lời giải:

Tóm tắt

1 bàn: 6 cái li

8 bàn: … cái li?

Bài giải

Mai xếp tất cả số cái li là:

6 × 8 = 48 (cái)

Đáp số: 48 cái li

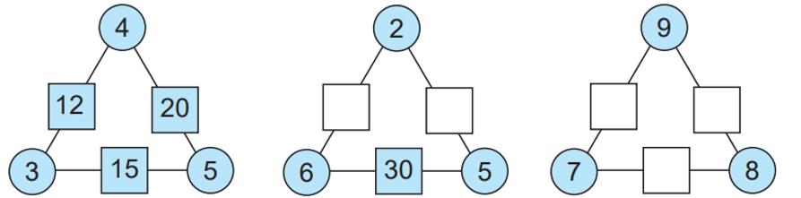
Vở bài tập Toán lớp 3 trang 42 Bài 5: 


Số?

Vở bài tập Toán lớp 3 trang 41, 42 Bài 15 Tiết 1 - Kết nối tri thức

Lời giải:

Ta thấy: 3 × 4 = 12

              3 × 5 = 15

              4 × 5 = 20

Ta nhận thấy quy luật: Tích của hai số trong hình tròn chính bằng số ở giữa.

Thực hiện tương tự với hai hình còn lại, ta điền vào ô trống như sau:

Vở bài tập Toán lớp 3 trang 41, 42 Bài 15 Tiết 1 - Kết nối tri thức

Vở bài tập Toán lớp 3 Tập 1 Bài 15 Tiết 2 trang 42, 43

Vở bài tập Toán lớp 3 trang 42 Bài 1:


 Tính nhẩm.

5 × 7 = …..                  6 × 8 = …..                  9 × 7 = …..                    8 × 4 = …..

7 × 5 = …..                  8 × 6 = …..                  7 × 9 = ….                    4 × 8 = …..

35 : 5 = ….                 48 : 6 = …..                 63 : 9 = …..                 32 : 8 = ….

35 : 7 = ….                48 : 8 = …..                    63 : 7 = …..                 32 : 4 = ….

Lời giải:

5 × 7 = 35                    6 × 8 = 48                    9 × 7 = 63                      8 × 4 = 32

7 × 5 = 35                    8 × 6 = 48                    7 × 9 = 63                      4 × 8 = 32

35 : 5 = 7                     48 : 6 = 8                     63 : 9 = 7                        32 : 8 = 4

35 : 7 = 5                     48 : 8 = 6                     63 : 7 = 9                        32 : 4 = 8

Vở bài tập Toán lớp 3 trang 42 Bài 2:


 Mẹ của Nam mua về 21 quả cam. Mẹ bảo Nam xếp cam vào các đĩa, mỗi đĩa 7 quả. Hỏi Nam xếp được bao nhiêu đĩa cam như vậy?

Bài giải

………………………………………………………………………………………………………………

………………………………………………………………………………………………………………

………………………………………………………………………………………………………………

Lời giải:

Tóm tắt

7 quả cam: 1 đĩa

21 quả cam: … đĩa?

Bài giải

Nam xếp được số đĩa cam là:

21 : 7 = 3 (đĩa)

Đáp số: 3 đĩa cam

Vở bài tập Toán lớp 3 trang 42, 43 Bài 3:

a) Viết dấu “x” vào ô trống dưới hình đã tô màu 16 hình đó.

Vở bài tập Toán lớp 3 trang 42, 43 Bài 15 Tiết 2 - Kết nối tri thức

b) Số?

 18 số ngôi sao là Vở bài tập Toán lớp 3 trang 42, 43 Bài 15 Tiết 2 - Kết nối tri thức (ảnh 1) ngôi sao;

• 14 số ngôi sao là Vở bài tập Toán lớp 3 trang 42, 43 Bài 15 Tiết 2 - Kết nối tri thức (ảnh 1) ngôi sao.

 

Vở bài tập Toán lớp 3 trang 42, 43 Bài 15 Tiết 2 - Kết nối tri thức

Lời giải:

a) + Hình 1 được chia thành 6 phần bằng nhau. Tô màu 1 phần.

Vậy đã tô màu vào 16 hình 1.

+ Hình 2 được chia thành 5 phần bằng nhau. Tô màu 1 phần.

Vậy đã tô màu vào 15 hình 2.

+ Hình 3 được chia thành 6 phần bằng nhau. Tô màu 1 phần.

Vậy đã tô màu vào 16 hình 3.

Ta điền dấu "x" vào ô trống như sau:

 

 

Vở bài tập Toán lớp 3 trang 42, 43 Bài 15 Tiết 2 - Kết nối tri thức

b) Hình trên có tất cả 24 ngôi sao.

 18 số ngôi sao là:

24 : 8 = 3 (ngôi sao)

• 14 số ngôi sao là:

24 : 4 = 8 (ngôi sao)

 

 

Vở bài tập Toán lớp 3 trang 43 Bài 4:


 Khoanh vào chữ đặt trước câu trả lời đúng.

a) Phép tính nào dưới đây có kết quả lớn nhất?

A. 6 × 5

B. 4 × 7

C. 3 × 9

D. 8 × 4

b) Phép tính nào dưới đây có kết quả bé nhất?

A. 16 : 2

B. 42 : 6

C. 70 : 7

D. 72 : 8

Lời giải:

a) Đáp án đúng là: D

Ta có:

6 × 5 = 30                  4 × 7 = 28                  3 × 9 = 27                  8 × 4 = 32

Vì 32 > 30 > 28 > 27 nên số lớn nhất trong 4 số trên là 32, kết quả của phép nhân 8 × 4.

Vậy phép tính 8 × 4 có kết quả lớn nhất.

b) Đáp án đúng là: B

Ta có:

16 : 2 = 8                   42 : 6 = 7                   70 : 7 = 10                    72 : 8 = 9

Vì 7 < 8 < 9 < 10 nên số bé nhất trong 4 số trên là 7, kết quả của phép chia 42 : 6.

Vậy phép tính 42 : 6 có kết quả bé nhất.

Vở bài tập Toán lớp 3 trang 43 Bài 5:


 Số?

Vở bài tập Toán lớp 3 trang 42, 43 Bài 15 Tiết 2 - Kết nối tri thức

Lời giải:

Thực hiện tính toán lần lượt theo thứ tự từ trái qua phải để điền số thích hợp vào ô trống.

a) Ta có: 32 : 4 = 8

               8 × ? = 48

Số cần tìm là: 48 : 8 = 6

Vậy số cần điền vào ô trống lần lượt là 8; 6.

b) Ta có: 6 × 6 = 36

               36 : ? = 9

Số cần tìm là: 36 : 9 = 4.

Vậy hai số cần điền vào ô trống là 6; 4.

Ta điền số vào ô trống như sau:

Vở bài tập Toán lớp 3 trang 42, 43 Bài 15 Tiết 2 - Kết nối tri thức